Previous ToC Next

5. TA100 による食品中セシウム検出その3 (2011/10/30-11/6書きかけ )

TA100 をアップデートにだして、計算機にスペクトルが取り込めるようになり ました。こうなると色々データ処理ができるので、ちゃんと統計的検定をして 測定ができます。今回は、そのような方法(のための予備的実験)の結果をまと めます。

5.1. 土壌サンプル測定

まず、図 53 に前に述べた土壌サンプルWの測定結果 を示します。縦軸はチャネル毎のカウント値、横軸はγ線のエネルギーで、 緑はサンプルの1時間11分積分値、赤は比較用になにもないバックグラウンド での測定です。サンプルの放射性物質の量は以下の通りです。

 サンプル Cs量 134  137
 W            4800 5800
 X            1500 1700
 Y             340  420

Figure 53: 土壌サンプルW(合計1万Bq/kg程度)のスペクトル。赤はサンプルのスペクトル、 1時間11分測定。緑はバックグラウンド、6時間測定。赤は測定時間の差に合わせてスケールしてある。

なお、これは鉛遮蔽をして測定してます。どんなものかは後で書きます。

サンプルのほうが測定時間が約 1/5 と短いので、その比率で赤はスケールを かけてグラフにしています。これくらいあると、サンプルがバックグラウンド を圧倒していることがわかります。

0.6, 0.662, 0.8 MeV のところのピークはまあそう言われるとシグナルが多いかな、と いう程度ですが、存在はしています。一方、0.6MeV以下のコンプトン散乱が 寄与する領域では膨大なカウント数があることがわかります。

従って、このコンプトン領域の信号強度を測定してみることにします。

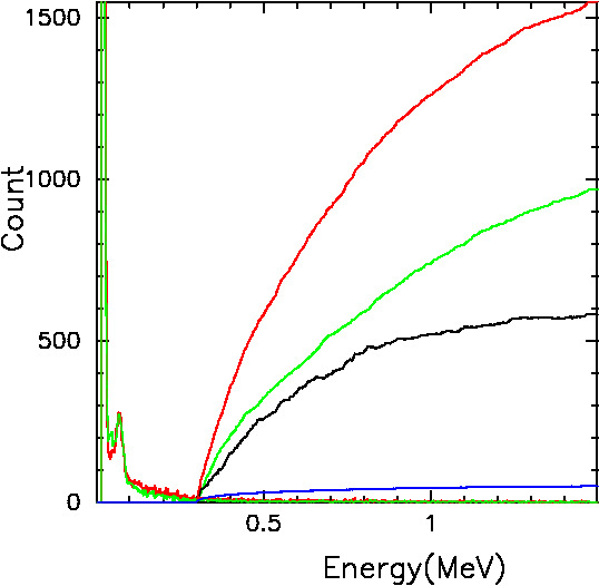
データが数値であるので、少し計算してグラフにした のが図 54 です。

Figure 54: 土壌サンプルW(合計1万Bq/kg程度)のエネルギー方向積分スペクトル。黒が積 分スペクトル、青は1σエラーの大きさ、赤、緑はサンプルおよびバックグラ ウンドのスペクトル。カウント値は6時間積分にスケール。

黒は 0.3MeV以上でサンプル(の信号強度に測定時間の比の逆数をかけたもの) とバックグラウンドの差を積算していったもの、青は黒の値の ポアソンゆらぎによる1σエラーです。

黒の線を良く見ると、 0.6MeV のところで傾きが急になっています。これは、 そこに 0.604MeVの Cs-134 のピークがあることに対応しています。 0.662MeV の付近にも同様に急にあがるとこがあります。 0.8MeVはなんともいえません。

このようなエネルギー方向積分スペクトルでの表示は、どのエネルギーレンジで バックグラウンドとの差が大きいかを図から容易に読みとることができるので カウント値自体の差を直接プロットするより有用です。

この図から、 Cs-134, 137 のコンプトンエッジの下である 0.6MeV 以下では バックグラウンドとの差が大きいですが、それより上でK-40 のコンプトンエッ ジの下である 0.8-1.2MeV ではバックグラウンドとの有意差はないことがわか ります。つまり、この土壌サンプルでは K-40 は無視でき、主体は Cs-134, 137 と考えられます。

また、黒の測定値は、青のエラー推定に比べて1桁以上大きく、十分な有意性を もって検出できていることがわかります。このサンプルの場合は、シグナルが バックグラウンドの数倍あるので、誤差はほとんどシグナル自体のポアソンゆ らぎです。

Figure 55: 土壌サンプルY(合計1千Bq/kg程度)のエネルギー方向積分スペクトル。色の意 味は図 54 と同じ。

55 に1000ベクレル程度のサンプルY の測定結果を示します。測定値はサンプルWの 1/6 程度で、 1/10 になるべき ところが若干多めですが、1σエラーが 30 なので2σにははいっていて、問題 があるといえる値ではありません。元々の某所ゲルマでの測定も10%程度の エラーはあるので、まあこんなものでしょう。

このサンプルYの値から機械的に検出限界をだすと、 1σエラーが信号の 1/7 なので1000Bq/kg のまあ 1/7 ですから、150Bq/kg となります。この土壌サン プルは50g 程度と少ないので、500g 程度を使うとしては検出限界がさらに半 分、24時間使うとさらに半分で40Bq/kg ですね。

5.2. 食品測定例

本当に食品を測ってみた例を 56 に示します。

Figure 56: 国産桃ジャムのエネルギー方向積分スペクトル。色の意味は図 54 と同じ。

有意なシグナルはでていなくて、積算スペクトルはマイナスになっていること がわかります。このジャムは300g ほどあるので、検出限界は100Bq/kg 弱 です。青の、エラーバーがグラフの外にでてしまっていますが、数字では 30 程度です。これが 100Bq/kg に大雑把には対応するはずです。

5.3. 感度向上の方策検討

なお、ここまで、バックグラウンドは単なる空気でなにもなしでやっています。 本当は、サンプルを置くとそれがバックグラウンドのγ線を若干さえぎる効果 があるので、バックグラウンド測定の時にはサンプルと大体同じようなもので 放射性物質は含んでいないダミーを置く必要があります。但し、今回の測定で はそれが問題になるほどの精度はおそらくまだでていないです。とはいえ、食 品測定例で、0.8MeVから上でサンプルのほうが低くでているのはこの影響であ る可能性があり、ということはその下側でも影響がでているかもしれません。 ダミーをおいた場合の検証もやります。

検出限界が 50-100Bq/kg というのは嬉しくない、もっと下げたい、と 思うわけですが、これには

  1. バックグラウンドを下げる
  2. 時間を伸ばす
  3. 測定器の感度を上げる

の3つの方法があります。バックグラウンドは鉛の厚さを増やせばまだまだ下が るわけで、実は投資効率はこちらのほうが測定器の感度を上げるよりよいです。 また、ある程度の厚さの鉛があれば、その外側はもっと軽い元素でも遮蔽効果 はでます。コンプトン散乱の断面積は原子量にあまり依存しないのですが、光 電吸収の散乱断面積は原子量の5乗に比例するので、実際にガンマ線を吸収する 能力は鉛は他の物質より圧倒的に高いわけです。しかし、コンプトン散乱でエ ネルギーを低くしておけば、光電吸収の断面積はエネルギーの3乗程度で大きく なるので効率的に吸収されることになります。なので、外側は水とかでも効果 はあるわけです。まあ、邪魔であるという問題はあります。

6時間測定でのカウント値は現在の鉛遮蔽(2cm厚さ)でバックグラウンドが大体 400前後で、シグナルのカウント値は1000Bq/kg で500g サンプルを使ったとし て300前後ですから既にバックグラウンドが無視できません。バックグラウン ドが1桁下がれば検出限界を 1/3 にできます。

時間は伸ばせばその平方根の逆数で検出限界が下がります。例えば24時間にす ればさらに半分になるわけです。

最後に、検出器の感度を上げる方向ですが、これは要するに TA100 でない何 かを、という話です。

TA100 と同程度の価格でテクノAP社からは CsI(Tl)を使ったシンチレー タタイプの TC100Sも発売になりました。スペクトル分解能は若干悪いはずで すが、感度が 2500cpm(@1uSv/h) と 800cpm の TA100 に比べて3倍ほどよいの が魅力です。

クリアパルス社の A2700 には同社のMCAをつけることでやはりパソコンにスペ クトルを取り込むことができます。これは合計40万円程度です。これも TA100 よりは感度がよいはずです。

もっとも、50万円までいくとテクノAP社のTN100 が購入可能で、こちらは1イ ンチNaI(Tl)シンチレータで 18000cpm と桁違いの感度です。但し、データは SDカードに保存、ということでちょっと面倒です。オプションで外部インター フェースもあるようですが、、、

これから測定器を買って同じようなことを、という人がもしもいるなら、よほどお財 布に余裕があれば TN100、でなければ TC100S 辺りを購入して、鉛遮蔽 をなるべく厚いものにして測定、というのがよいように思います。 TA100 は そのへんに比べると感度不足です。 TA100 のメリットは、 CdTe でエネルギー 分解能が高く、ピークが細い、ということですが、実際に TA100 を使って食品測定をするなら現 実的な検出方法はコンプトン領域を使うことでエネルギー分解能が高いメリッ トを生かすことができません。

5.4. K40 測定

Figure 57: やさしおのエネルギー方向積分スペクトル。色の意味は図 54 と同じ。バックグラウンドは24時間とっていて、カウント値は24時間での値にスケールされてるいることに注意。

「やさしお」は成分の半分が塩化カリウムな塩で、100グラム当り30グラムの カリウムがあります。カリウムは1グラム当り30BqにあたるK40を含んでいて、 1.46MeV のγ線をだします。但し、β崩壊したK40の全てがこのγ線を出すわ けではなく、90パーセントはγ線をだしません。10パーセントだけになります。 なので、1kg のやさしおは大体1万BqのK40を持ち、1000Bq相当のγ線を出すこ とになります。

180gパックのやさしおを2つ検出器の前にいれて12時間測定した結果が 図 57 です。1.25MeVくらいまだほぼ直線的にあがっていて、 コンプトン散乱によるフラットな領域がみえます。また、本来の 1.46MeVにも 数パーセントははいっていることがわかります。

Figure 58: サンプルW(黒)とやさしお(赤)のエネルギー方向積分スペクトル。

58 にサンプルWとやさしおの比較を示します。縦 軸は適当にスケールしています。 サンプルWは1時間測定で短いので若干ノイズが多いですが、Cs の影響がなく なる 0.8MeV以上ではほぼ水平でなにも出ず、やさしおとは全く違う形に なっていることがわかります。つまり、このデータから、 カリウムの寄与を区別することは十分に可能、ということがわかります。

ちなみに、このデータから K40の検出限界を見積もると、24時間測定の場合の バックグラウンド+データの分散が50程度になるはずなので、やさしおの値の 1/30、カリウムで 300Bq/kg が検出限界です。セシウムだと 30Bq/kg くらい かな、というところです。バックグラウンドを下げて、 10Bq/kg くらいまではなんとかできるかな、という感じです。

5.5. 鉛遮蔽の方法とその結果

ここでは、鉛遮蔽をどうやって作るかを説明します。これはTA100U用で、 厚さが4cm、測定対象を入れる場所が8cm x 6cm x 15cm のものです。ここまで の説明では実は 2cm 厚さでしたが、4cm に増やしたのでそっちを説明します。

材料は東急ハンズ等で売っている鉛インゴットです。私がやったのと大体同じ ようなものをもうちょっと素直に作るとして、 4cm x 2cm x 30 cm のものが 28本、15cm長さのものが5本あればよいと思います。価格は安いところでは 6万円程度ですが、あとで述べるような微妙な問題もあります。

まず、鉛は有毒なので、手で常時ふれたり、食べ物にまざったりしてはいけま せん。なので、表面をなにかでカバーしたいです。私は3Mの透明梱包用テープ 313で表面を覆うようにしました。

なお、あとで述べるように長いもののうち8本はまとめるので、まだ個別にはテー プはる必要はないです。

まず、長いの4本を床に並べます。この時、断面が台形になってるいるので 一本毎に表裏を互い違いにします。これを2段重ねにしてベースの4cm ブロッ クを作ります。この状況を図 59 に示します。

Figure 59: 鉛遮蔽組み立て状況1。4cm の下側遮蔽。

次に、図 60 と図 61 に示すように両側は3段つみ、真中は短いもの2本を積んだ上にTA100を(電源いれてケーブルも接続した状態で)おきます。

Figure 60: 鉛遮蔽組み立て状況2

Figure 61: 鉛遮蔽組み立て状況3

その上に、長いものを4本まとめてテープで固定して30cm x 18cm くらいのパ ネル状にしたものを2枚載せます。図 62 ですが、上のパネルは細い ブロックを沢山並べて作ってあるので形がちょっと違っています。4枚パネル にするのは、まず2枚づつまとめて、それからその2枚をまとめるのがよいと思 います。あるいは、厚さ1mm 程度の鉄板を用意して、その上にただ並べるほうが よいかもしれません。

Figure 62: 鉛遮蔽組み立て状況4

最後に前後の穴を短いブロックを2枚並べたもので(下3cm 程度適当に何か台をお いてふさぎます。この状況を図 63 に示します。気休めに水と か小さい鉛ブロックがおいてありますがあまり意味はありません。

この状態で、サンプルを出し入れするのは前面の蓋になってるものをどければ できます。TA100の電源 on/off は上面のパネル2枚をどけて 図 61 の状態に戻す必要があります。

Figure 63: 鉛遮蔽組み立て状況5

これで、 500KeV 以下の自然放射線は1桁以上カットされますが、 800keV のCs134のラインでは 1桁、また1.46MeV のK-40では 半分程度にしかなりません。それでも、TA100 の場合は 300keV くらいまでのコ ンプトン領域を使うことである程度の感度を実現できています。

なお、これは東京(山手線より西)の私の自宅室内で、Cs-137/134 のレベルは 0.03uSv/h 以下のと ころでの話です。室内でも放射線レベルがもっと高いようなところでは、 さらに鉛遮蔽を厚くしないと精度の高い測定はできません。とはいえ、6cmに すればおそらく十分、というか、それでも足りないようなところで生活するの はどんなものかと思います。

Figure 64: 鉛2cm遮蔽(赤)と4cm遮蔽(緑)の積分スペクトル。0.3MeV以上は積分スペクトルで、 それ以下はスペクトル自体を示す。黒は積分スペクトルの差。積分時間は 24時間。

64 に遮蔽を厚くした効果を示します。 0.8MeVのところで差の黒い線が折れ曲がっていることがわかります。これは、 鉛を増やしたことがバックグラウンドの K-40 からの寄与を減らす効果が 非常に弱いことを表しています。逆に、 0.8MeV以下では遮蔽の効果は かなり大きく、環境の Cs からの放射線は十分さえぎっていること がわかります。

0.8MeV 以下だと遮蔽を増やした後のバックグラウンドカウントは600くらいな ので、サンプルからバックグラウンドを引き算した後の誤差の分散は 1200、1σエラーは35 となり、片側検定で5%水準とすれば 1.7σ、60 以上だ と有意です。この値は、「やさしお」が1000Bq/kg 相当でカウントが 1500 であったことから、大体 40Bq/kg 相当、 Cs134,137 比がまだ 1:1 とすれば その 2/3 の大体 25Bq/kg ということになります。

Previous ToC Next