next up previous
Next: 2 A sub-petaflops computer Up: No Title Previous: No Title

1 Introduction

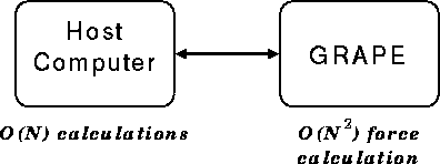
In 1988, we started the development of special-purpose computers for astrophysical N-body problems (GRAPE; [SCM90]). The basic idea was to build a simple and small hardware, which is designed specifically to calculate gravitational interactions between particles. This hardware operates in cooperation with a general-purpose programmable computer, which performs all other calculations such as time integration and I/O (see figure 1).

 
Figure 1: Basic structure of GRAPE

We believe this approach has been so far highly successful. The first machine, GRAPE-1 [IMES90], achieved the speed of 240 Mflops in year 1989. GRAPE-3 [OME93] achieved 14 Gflops 1991. In 1995, GRAPE-4 [MTES97] became the first computer to achieve the peak speed of 1 Tflops and sustained speed of 500 Gflops. In addition, more than 25 institutes, both within and outside Japan, now own various versions of GRAPE hardwares and many of these GRAPE hardwares are actively used. Of course, our group has been using GRAPEs, and many of our results such as gravothermal oscillations [Mak96], runaway growth of protoplanets [KI97], and formation of CDM halos [FM97] would have been simply impossible without GRAPE-4.

This success of GRAPE hardwares led us to investigate the possibility of the successor for GRAPE-4, namely GRAPE-6. Just after the completion of GRAPE-4 in 1995, we started to organize an international collaboration to develop and use next-generation GRAPE systems. In June 1997, the project to develop GRAPE-6 was approved by JSPS (Japan Society for Promotion of Science), as one of the projects under ``Research for the Future'' program. In the following, we briefly overview the GRAPE-6 project. In section 2, we discuss how we achieve the speed of sub-petaflops range. In sections 3 and 4 we discuss the architecture of the processor chip and that of the whole machine. In section 5 we briefly discuss the concept of ``reconfigurable computation'', which we will use to extend the application range of GRAPE architecture. In section 6 we discuss the expected scientific outcomes.



next up previous
Next: 2 A sub-petaflops computer Up: No Title Previous: No Title



Jun Makino
Tue Jun 23 14:17:17 JST 1998