next up previous contents
Next: 第8章 2体緩和のタイムスケール、フォッカー・プランク方程式 Up: 理論天体物理学特論I Previous: 第6章 粗視化エントロピー、 violent relaxation

第7章 Violent relaxation (続き)、2体緩和

7.1 Violent relaxation (続き)

前回は、楕円銀河がどれも良く似たような形をしているのは何故かとい うことを説明するひとつのモデルとして、 Lynden-Bell が提唱した violent relaxation の考え方を紹介し、それが適当なものであるかどう かを検討した。

Violent relaxation の主張というのは、要するにシステムが力学平衡か ら遠く離れていれば、全体として振動する。その振動が系の各粒子のエ ネルギーを位相に依存する複雑な方法で変化させるので、これはランダ ムな変化と同様になり、系をある平衡状態に導くというものであった。 しかし、数値実験の結果はそうなっていないし、それは基本的には上の メカニズムが十分に熱平衡に近い状態を実現できるほど有効に働くわけ ではないということで理解できる。

それならば、楕円銀河がそれなりによく似ているということには、さら にまた別の説明が必要であるということになろう。ここでは、2つの考 え方を紹介する。

7.1.1 N(E) の連続性

Violent relaxation で「平衡状態」にいくというわけではないにしても、 楕円銀河が円盤銀河とはちがった何らかの力学的な進化、すなわち Lynden-Bell が想定したような系全体の振動のようなものを経験したと 考えるのはそれほど不自然ではないであろう。

では、そのような系全体の振動というものを考えた時に、分布関数につ いてなにかいえることはないだろうか?実は、問題が3次元であるとい うことから、分布関数が特徴的な性質をもつであろうということが直接 にいえる。80年代以降、このことは「何となく」理解されていたようで あるが、ある程度明確に述べたのは、 IAU Symposium 127 ``Structure and Synamics of Elliptical Galaxies'' での Scott Tremaine (Conference Summary) と W. Jaffe (Poster) の発表であったようであ る。 Tremaine の記録に残っている集録原稿は要領を得ないものである ので、以下 Jaffe にしたがって簡単にまとめる。

何らかの原因、例えば他の銀河と合体するとか、合体しないまでも近く を通り過ぎるとかで大きな振動が励起されたとする。すると、それが構 成する各粒子のエネルギーを変化させることになる。

エネルギーが変化した粒子のなかには、もちろん、エネルギーが正、す なわち系に束縛されなくなってそのまま無限遠にいってしまうものもあ る。また、そうでなくても、エネルギーがある程度 0 に近ければ、一旦 遠くにいって、また戻ってくる頃には系はほとんど落ちついているので、 それ以上エネルギーが変化するということはない。

このような、エネルギーが0に近い粒子の分布というものを考えてみる。 なんらかの熱平衡のようなものを考えると、このあたりに粒子がたくさ んないといけないことになる。というのは、エネルギーが高いほど空間 的な体積が大きいので、熱平衡になるためにはその体積にくまなく粒子 を分布させる必要があるからである。熱平衡とすれば、結局エネルギー が高くなるほど粒子が多いことになって質量が発散してしまうのは前に 述べた通りである。

しかし、実際にこのようなエネルギーが0に近い粒子が形成されるプロセ スを考えてみると、このような熱平衡にいくとか質量が発散するとかい うことは起こらない。これは、このプロセスが、エネルギー 0 の平 衡状態に相当する遠く離れたところで起きるのではなく、系の中心付近 でしか起こらないからであり、また、このプロセスがすぐに止まってし まうからでもある。

結果として、エネルギーが0に近い粒子というものは確かに作られるが、 その分布は熱平衡を満たすようにはならない。ではどうなると考えられ るであろうか?実際にそういった粒子が出来るところを考えてみると、 例えばエネルギーが正になってしまうかどうかを知っているわけではな いし、どれくらいの phase volume があるかどうかということを知って いるわけでもない。従って、エネルギーが0に近い粒子の分布は、 が 特異でない(発散したり 0 にいったりしなくて、おそらく微 分可能である)ということによって特徴付けられると考えていいと思わ れる。

実際、前回例に出した van Albada の数値実験では多くの場合にそうなっ ていたわけである。

これは、 が、 E=0 の付近、すなわち、大雑把にいって の極限で、 の形 の展開を持ち、特に であるということを意味する。

7.1.2 N(E)から分布を?

さて、 について何かわかったとして、それから直ちに分布関数 f なり密度 についてなにかいえるわけではない。仮に球対称 を仮定したとしても、角運動量分布の自由度があるからである。以前に ジーンズ方程式について議論した際に、系の中心にカスプがあるという ような観測から分布関数やポテンシャルについてなにかをいうことは必 ずしも可能ではないということがわかった。今回も同じような困難があ るのではないだろうか?

とりあえず、困難はおいておいていろいろやってみることにしよう。定 義により「十分外側」を考えるので、ポテンシャルは

で与えられるとする。単純な例として、すべての粒子が円軌道を回る、 すなわち最大の角運動量を持つ場合を考える。もちろんこんなことは現 実にはあり得ないが、とりあえず計算は簡単なのでいいことにしよう。 円軌道の式からすぐにわかるように、

 

である。つまり、エネルギーが決まれば中心からの距離が決まる。した がって、密度を求めるにはヤコビアンを計算すればいい。つまり

と、式7.2からでる

から、

を得る。

円軌道は特殊なので、もうちょっと違うことを考えれば違う答がでるの ではないかと心配になるが、たとえば Jaffe (1987) は、等方的な場合 にもやはり を示している。もちろん、これもあ まり信用できるわけではない、というのは、実際の粒子の分布は、角運 動量に強く依存するものになっていると考えられるからである。

それなら、逆の極限、すなわち、すべての粒子が角運動量を全く持たな い場合はどうであろう?実は、この場合にも円軌道と同じ結果になるこ とがわかる。これは、実際に軌道が解けるので、エネルギーごとにある 位置への滞在確率を求めて積分すれば密度が求まるが、その式から結局 滞在確率が外にでてしまうからである。

もうちょっと厳密に示そう。 あるエネルギーEの粒子が、中心からの距離がある範囲 に いる確率がで書けるとすれば、密度は

で与えられる。ここで は距離 r に到達できるエネルギーの最 小値であり、 で与えられる。いま、ケプラーポテンシャルのなかでの直線軌道を考え ているので、 は書き下すことができ、特に

の形に表現できる。ここで である。さらに とい う変数変換を行なって適当に整理すると、

これから、 の極限で、積分の中が収束すること がわかる。従って、すべてが radial orbit の場合も円軌道の場合もお なじことになる。

それでも一般に J に分布があったら違うのではと心配になる向きは、 実際に計算してみよう。つまり、 の形で実際に分布を与え、 Jについての依存性にどのような制約があれば上と同様の結果が得られ るか調べてみよう。ここでは結論だけを述べておくと、かなりゆるい条 件のもとでOKであることがわかっている。

7.1.3 N(E)についてのまとめ

結局、比較的一般的な条件として、自己重力系で力学平衡から大きくず れた振動などを経験した場合には、 で連続という 条件から、 という結論が出せる。これは、前にモ デルのところででてきた Hernquist model や Jaffe model に共通な性 質であり、これらは、(中心部の構造が全く違うにも関わらず)どちら も楕円銀河に良く合うとされている。「観測的に楕円銀河の性質が共通 である」というのはその程度の意味であると考えるべきかもしれない。 つまり、基本的には外側のほうでに漸近していくよ うな構造というのが本質ではないかと考えられる。

7.1.4 中心部の構造

さて、それでは、中心部の構造についてはなにもいえないのであろうか? これは実はまだ良くわかっていない問題である。最近、 Navarro たち (astro-ph/9611107, 最近 ApJ にも出たはず)は、数値計算の結果をも とに以下のような主張をしている

彼らはなぜそのようなことが起きるかについての解釈とか説明は特に与 えていないが、例えば Syer and White (astro-ph/9611065)といった人 達が説明を考えてはいる。

しかし、実は、Navarro たちの結果の解釈にもここのところ異論がでて おり、 CDM と初期条件を制限しても、例えば Fukushige and Makino (1997ApJ 477 L9) とか Moore et al. (astro-ph/9709051) を見ると、 上の「ユニバーサル」な形になったのは数値誤差のせいとかいう主張も なされていて良くわからない。が、これらの結果では Navarro たちのも のより中心で等温に近くなっており、これらを信じるなら、中心(というか、 half mass radius より内側)の構造は、

という状況であるといえる。

7.2 2体緩和

7.2.1 前置き

さて、この講義も回数ではすでに半分以上が終り、当初予定していた

(1) 支配方程式(無衝突ボルツマン方程式)
(2) 球対称の力学平衡モデル
(3) ジーンズ不安定と力学平衡への緩和過程
(4) 2体緩和
(5) 重力熱力学的不安定と重力熱力学的振動
(6) 自己重力多体系におけるカオス
(7) 外場の影響

のうちの最初の3つまでが済んだということになる。もっとも、それぞ れ大きなテーマであり、力学平衡モデルについては軸対称、あるいは3 軸不等なモデル、あるいはディスク系とその不安定モードなどについて は全く扱うことができなかった。力学平衡への緩和過程についても、例 えば合体の場合、あるいは理想化された1次元系を例にとって具体的な 話をする必要もあったかもしれない。が、しかし、世の中は無衝突系だ けではないし、また、現実は無衝突系である場合でも、それを数値的に モデル化したものはそうでなくなってしまうことがある。従って、衝突 系の進化がどのようなものかということは、実際になんらかの自己重力 系を扱う場合には必ず理解しておく必要がある。というわけで、これか ら数回で衝突系の進化というものを考えることにする。

7.2.2 2体緩和とはなにか?

まず、2体緩和とはいったいどういうものかというところから話を始め ることにする。原理的には、これがなにかというのは結構厄介な問題で ある。

有限粒子数の自己重力多体系を考えると、これは以下のような進化をす ると考えられる。まず、最初は力学平衡になかったとすると、とりあえ ず力学平衡に落ちつく。粒子数が無限大であれば、無限に細かく見れば 無限に時間がたっても真の力学平衡に到達するわけではないが、まあ、 漸近はしていく。この時、各粒子は与えられたポテンシャルの中を運動 するだけになり、それ以上進化することはなくなる。

さて、実際には有限粒子数であるので、そもそも真の力学平衡というも のはない。有限の質量をもった各粒子が系の中を運動するに従って、ポ テンシャルは必ず変化するからである。この変化によって各粒子の軌道 も変化することになる。

それでは、粒子の軌道の変化を、粒子数が有限であることから来る成分 とそれ以外に分離することは可能であろうか?これは、系が力学平衡に あるとみなすことができればそれは可能である。つまり、力学平衡にあれ ば、粒子のエネルギー変化は定義によりすべて粒子数が有限であること によるからである。

が、良く考えると問題なのは、そもそも有限粒子数であるものを力学平 衡とみなすとはどういうことかということである。このあたりを考えて いると段々混乱してくるので、まず、理想化された状況から考えていく ことにしよう。

7.2.3 理想化:一様等方な分布

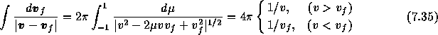
理想化といえば例によって一様等方な分布を仮定することである。例え ばマックスウェル分布があって、その中の一つの粒子をとって考えると いうことをしたいわけだが、これは結構厄介なのでさらに簡単な例を考 える。すなわち、速度0で空間内に一様(ランダム)に分布した質点を考 え、その中を質量0のテスト粒子を飛ばして見る。

もちろん、この場合エネルギー交換はないので速度は変わらず、単に散 乱されるだけだが、しかし、この例は2体緩和のいくつかの重要な性質 を示すのですこし詳しく見ていくことにする。分布している質点の質量 を m、数密度を n とする。テスト粒子が一つの粒子から距離(イン パクトパラメータ) b を速度 vで通った時に曲がる角度は、実際に ケプラー問題の解析解を使って

で与えられる。単位時間当たり、インパクトパラメータが の 範囲にある散乱の回数は である。

さて、散乱の方向はランダムであると思われるので、平均としては(一 次の項は)0になる。しかし、 2次の項は0にならない。これは

で与えられることになる。

この式から既にいろいろな性質がわかる。が、その前に理論的な困難を 解決しておく必要があるであろう。すなわち、この積分は で発散しているのである。これについてはいく つかの考え方があった。例えば、初めて2体緩和の性質を理論的に調べ た Chandrasekhar は、以下のように考えた。

「平均粒子間距離よりもインパクトパラメータが大きいような散乱は、 多体の干渉によって効かなくなるのでそこで積分を打ち切ってよい」

しかし、多体の干渉というようなものが実際にあるかどうかはあきらか ではない。もっと素直な解釈は、実際に系にあるすべての粒子と常に同 時に相互作用しているのだから、システムサイズくらいまで全部いれる (系が構造を持つ場合はちょっとややこしいが、密度の空間依存も積分 のなかに入れて全空間で積分する)というものである。

数値実験の結果などから、後者の解釈すなわち全体が効くというほうが 正しいということはかなり昔から大体わかっていた。歴史的には、どち らの解釈が正しいかについてはかなり最近まで論争があって、完全に決 着がついたといえるのは 94-5年頃である。が、これはまあそういうこと をいっている人もいたっていうくらいのもので、定説となっているのは 後者である。現在では後者の解釈が正しいということに疑いの余地はな い。

上の式から、適当に近似すると

となる。ここで Rは先に述べたシステムの大きさ、 は「大きく 曲がる」ためのインパクトパラメータの値で、の程度である。

さて、これからどんなことがわかるかというわけだが、これから、逆に 角度変化が1の程度になる時間というのを求めてみると、

となる。ここで は上の を単に書き換えただけである。

今、 の質量依存性といったものを無視すると、散乱のタ イムスケールは速度の3乗、数密度の逆数、質量の2乗の逆数に比例する ということがわかったことになる。特に、質量密度一定の場合というも のを考えてみると、タイムスケールが各粒子の質量に比例するというこ とがわかる。

ある大きさを持った多体系というものを考えてみよう。質量M、特徴的 な半径(ビリアル半径か何か) R、粒子数 N とすれば、ビリアル定 理から、力学的なタイムスケールが となる。これを使うと上の緩和のタイムスケールは

となる。粒子数が大きいほど無衝突系に近付くのだから、まあ、当然の 結果といえなくもない。

7.3 2体緩和(続き)

2体緩和(続き)

前回は、2体緩和のイメージとして、テスト粒子が、静止したバックグラウン ド粒子の分布の中を運動する場合を考えた。これで、テスト粒子が方向を変え るタイムスケールを導くことは出来たが、これだけでは「緩和」とはいい難い。

今日は、実際にバックグラウンドの粒子も動いている場合について考えること にする。

7.3.1 どういうことを考えるかということ:流体との違い

2体緩和によって、最終的には系が熱力学的に進化するわけであるが、これが 普通の流体(ガス)とは本質的に違うものであるということをここで再確認し ておこう。

ガスの場合、粒子の平均自由行程はシステムサイズよりもはるかに小さい。液 体であれば平均粒子間距離は粒子のサイズ程度であるし、気体であっても通常 の状況では考えている現象の空間スケールに比べて平均自由行程は小さい。ち なみに、非常に希薄な気体とか、あるいは本当に空間スケールの小さい現象で は平均自由行程が問題になる。これは例えば超高層での人工衛星の回りの気体 の流れとか、あるいは最近の磁気ヘッドの回りの空気の流れとかいったもので ある。

とにかく、通常のガスの場合、平均自由行程がシステムサイズより小さく、シ ステムサイズよりは小さく平均自由行程よりは大きいような空間スケールを考 えると、そのなかでほぼ熱平衡になっていると思っていいことになる。いいか えれば、いわゆる Local thermal equilibrium (LTE) の仮定が使える。こう なると、温度とか圧力とかいった量が近似的(といっても実際上非常に高い近 似精度で)に定義でき、そういったマクロな量で系の進化を扱う、特に熱の流 れを拡散方程式で書くということが可能になる。

しかし、自己重力質点系では状況が全くことなる。まず、粒子数が無限大の極 限では、平均自由行程も無限大であった。つまり、 LTE がなりたたないどこ ろか、そもそも熱平衡に向かう(すなわちエントロピーを生成する)ようなメ カニズムがなかったわけである。

粒子数が有限の場合も、依然として平均自由行程が長い、つまり、粒子数無限 大の時の軌道から、他の粒子との相互作用によって段々ずれていくわけだが、 そのずれる典型的なタイムスケールは 程度であった。 つまり、流体の場合とは全く逆に、ほとんど自由運動(というか、他の粒子全 体が作るポテンシャルに沿った運動)をしていて、その場が有限の粒子で表現 されるための揺らぎがあるので段々軌道が変わっていくということになるわけ である。

従って、ローカルな熱平衡を仮定して拡散係数/輸送係数を求めるというのと は逆に、ある一つの粒子が系の中を動き回りながらどういうふうにエネルギー 等を変化させていくかという観点で見ていくことになる。

これをすこし別ないい方をすれば、通常の空間のなかでの密度や温度の変化を 考える代わりに、また6次元位相空間のなかでの分布関数の進化を考えるとい うことに当たる。具体的には、これまで無視してきた「衝突項」というものを ちゃんと評価して、どういうものかみてやろうということである。

7.3.2 バックグラウンドの分布のもとでの有限質量のテスト粒子の振舞い

さて、以下ではバックグラウンドの粒子分布のもとでの一つのテスト粒子の振 舞いを考える。先週と違うのは、バックグラウンドも動いていることと、テス ト粒子も有限の質量を持つことである。バックグラウンドの粒子は一様に分布 するものとし、ある速度分布に従うとする。さらに、バックグラウンドの粒子 間の相互作用とかは考えないことにする。これで本当にいいかどうかはちょっ と良くわからない問題であるが、まあ、とりあえずやってみることにしよう。

前回と同じく、分布している質点の質量 を m、数密度を n とする。テスト粒子が一つの粒子から距離(イン パクトパラメータ) p を相対速度 で通った時に曲がる角度は、実際に ケプラー問題の解析解を使って

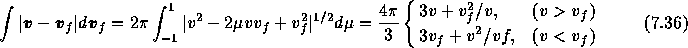
で与えられる。ここで、この曲がる角度は相対軌道のものであって、テスト粒 子の軌道のものではないということに注意する必要がある。いきなり回りが動 いていてしかもテスト粒子が質量をもつというのは難しくなるので、とりあえ ずテスト粒子は質量を持つが、回りは止まっている場合を考える。この時、一 回の散乱での速度変化は以下の式に従う。

先週の話との違いは、速度変化に係数 がついていることだけ である。 これにまた単位時間当たりの衝突回数 を掛けて積分するが、 については先週と同様1次の項は落ちる。それ以外につい ては先週と同様に計算出来て

ここで

である。ただし、 leading term でない項は適当に落ちてたりするので注意。

上の式で、の項は先週扱った角度の曲がる項と同じも のである。先週の話と違うのは、ネットに速度が小さくなる成分がある、すな わちが負で有限の値をもつということである。

これは、実は2回前(だっけ?)にやった dynamical friction そのものであ る。つまり、回りが止まっているなかを粒子が走っていくと、それが回りを引っ 張って動かすので、その分エネルギーを失って段々速度が落ちるわけである。 これは、 m が大きい( が小さい)極限では 、つまり質量 密度によっていて、バックグラウンドの粒子の質量に依存しないことに注意し てほしい。これに対し、他の項はに比例していて、質量密度が同 じでも粒子の質量が大きいほうが値が大きくなるのは先週にやった通りである。

さて、ここではとりあえず1次と2次の項を求めたわけだが、それより先の項に ついては考えなくてもいいのだろうか?ここでは粒子の軌道変化がたくさんの 散乱のランダムな重ね合わせで書けるとした。この仮定が正しければ、たくさ ん散乱を受けた後の速度の分布は1次と2次のモーメントで決まるガウス分布に なり、従って3次より高いモーメントの寄与は考えなくてもいいことになる。

問題はこの仮定が正しいかどうかであるが、実は理論的にはそれほど正確なわ けではない。というのは、インパクトパラメータが例えば の程度の散 乱というのも現実におき、その効果はそれ以外の散乱すべての寄与に比べてせ いぜい 程度でしか小さくないからである。まあ、しかし、そ んなことをいっていても高次の項があっては計算出来ないし、とりあえず 程度で小さいということも確かなので、以下高次のモーメン トは考えない。

7.3.3 バックグラウンドが速度分布を持つ場合

というわけで、いよいよバックグラウンドが動いている場合ということになる。 この時でも、相対速度の変化自体は前節に述べたもので正しいが、相対速度に フィールド粒子の速度成分が入ってくることになる。

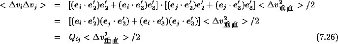
以下、二種類の単位ベクトル系をとって、その上で考える。一つはであり、元の空間に固定されている。もう一つはであり、最初の成分を相対速度 に平行にとる。従って、 後者は相手の粒子によって違うわけである。この2つを考えることで、相対速 度の変化をもとの静止系でのテスト粒子の変化に焼き直す。

まず、1次の項は相対速度に平行な成分だけであった。このことから、ある方 向の速度変化は

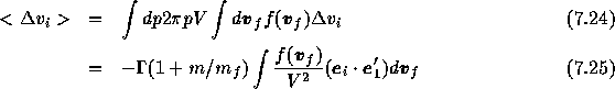
ということになる。もうすこし精密に書くと、右辺はインパクトパラメータと 相手の速度の積分なので、以下のように書けることになる。

ここで、 はフィールド粒子の速度、 fは速度分布 関数である。 pについての積分を先にやったことに注意して欲しい。この積 分は であった時の結果をそのまま使っている。

さて、2次の項についてであるが、前節で見たように に垂直な成分、す なわち の成分を考えればいい。従って、一つの方向から くるフィールド粒子との散乱を考えた時には

これもまた分布関数を掛けて積分すると、結局

ということになる。これで一応必要な2次までの係数はすべて書けたわけだが、 あまり計算するのに使い易い形ではない。というのは、 とか V と かいったものがまだややこしい形ではいったままであるからである。しかし、 もうちょっと簡単な形に書き直せることが知られている。まず、1次の項だが、

という都合のよい関係がある。変形はとくにややこしいところはないと思う。 をそもそも に平行にとったから上のように出来るわけである。 このため、

なる関数 を導入して、

ということになる。

2次の項についても同様な整理が可能である。, によって張られる平面への写像の内積なので、と の内積の分をつけてやれば元の単位ベクトル同士の内積になる。つまり、

したがって、

というわけで、

とおけば、

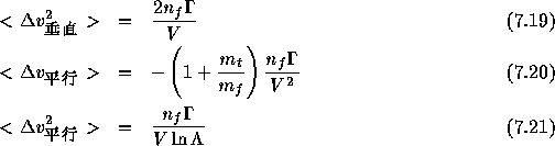
7.3.4 バックグラウンド速度分布が熱平衡の場合

前節では、バックグラウンドの速度分布が任意のものについて、実際に計算可 能な式を導いた。ここでは、速度分布が等方的な場合につ いて式を単純化してみる。

速度分布が等方的な場合、hgの積分を、 の絶対値方向と角度方 向に分けることができる。角度方向の積分については、 の なす角度を とし、 とすれば、球面上での積分 が、まずhについては

となる。これは、球面上に分布する電荷の作るポテンシャルと同じ式である。 gについても同様に計算できて

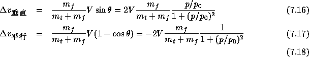
となる。これから、

というものを考えると、

これらから、最終的な結果、すなわち、バックグラウンドが動いている時の、 速度に平行な速度変化と垂直なそれを書き下せることになる。それらは、結局、

これらから、粒子のエネルギーの変化 を出すことができる。

と書けるので、1次の項は

となる。2次の項については、 以外の項は小さいので 無視すると

となる。

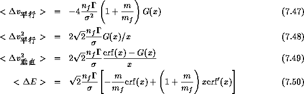
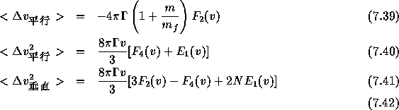
さて、速度分布を熱平衡、すなわち

とすると、上の係数等を具体的に計算できることになって、その形は

ここで は誤差関数であり、

また である。

山ほど式はでてきたものの、全然なんだかわからないという気分になった人も まあいるのではないかと思うので、以下、上の式の意味についてちょっと考え てみよう。

まず、速度の1次の項を見てみる。これは、速度分布にはだけ を通して依存しているということに注目して欲しい。例えば、マックスウェル 分布のようなものを考えた時、 vが大きい極限では となるので、回りが止まっているときと同じく速度変化は速度の2乗に 反比例する。これに対して、vが小さい極限では、fを一定と見なすことが 出来るので となる。

これは、タイムスケールを考えてみると、速度が大きい極限では減速のタイム スケールが であるのに対し、逆の極限では 一定になるということであ る。すなわち、非常に速度が大きい粒子が出来てしまうとこれはなかなか減速 しない。もちろん、自己重力系の場合には、そのようなものは系のなかに留ま るのが困難だということもあるが。

これに対し、速度が小さいほうではタイムスケールがある一定値、つまりは で決まる値あたりになるということである。

この1次の項は、前に述べたように dynamical friction を表している。これ が問題になる場面は、例えば恒星系が質量の違う2つの成分から出来ているよ うな場合である。力学平衡で、分布関数に質量依存がないようなものを考える と、これは熱平衡から遠くはなれている。従って、上の式で決まるタイムスケー ルで重いものがエネルギーを失い、軽いものがエネルギーを得る。

なお、、自己重力系ではこのエネルギー交換の結果熱平衡に向かうとは限らな いということに注意する必要がある。つまり、重いものがエネルギーを失い、 軽いものがエネルギーを得るということは、それぞれの分布関数が変わり、空 間分布も変わるということである。具体的には、重いものは中心に落ちるし、 軽いものは外側に押し出される。

さて、次に、2次の項を見てみる。速度に平行な成分も垂直な成分も、 vが 大きい極限では0にいく。特に、 垂直な成分はv に反比例する。これに対し、 速度が0の極限では、どちらも一定値に収束する。これは停止している極限 でも、回りの粒子によって揺さぶられるということを表しているわけである。



next up previous contents
Next: 第8章 2体緩和のタイムスケール、フォッカー・プランク方程式 Up: 理論天体物理学特論I Previous: 第6章 粗視化エントロピー、 violent relaxation



Jun Makino
Mon Jun 1 23:17:40 JST 1998