next up previous contents
Next: 5.4 古典的 Runge-Kutta法 Up: 第5章 ルンゲ・クッタ法 Previous: 5.2 公式の次数について

5.3 RK法の一般形

2次の Runge-Kutta 法とは、以下のようなものであった。

これについては、図的な説明というものが可能である。元の点からまずオイラー 法と同様に接線を引く。が、これを次の時刻まで延ばすのではなく、ステップ の半分のところで止める。で、ここでもう一回微分方程式の右辺を評価する。 ここでの導関数の値を使って、もとのところ から直線を引くわ けである。

実は、2次精度を実現する RK型の公式というのはこれ一つではない。以下のよ うなものも可能である。

さらに、これらの公式を含む一般的な公式を与えることもできる。

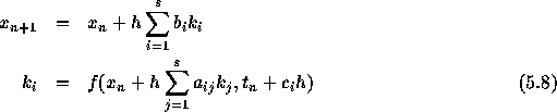
もっと一般には、以下の形に書 くことができる。

自然数 s を段数(number of stages)という。 , , はパラメータであるが、ac は普通

となるようにとる。これは、一般にそうでないような公式は不可能ではないが あまりいいことがない(精度がよくならない)からである。

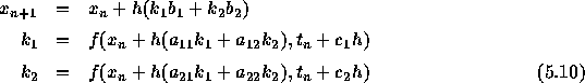
と、こう、式に書いてしまうとすぐにはわからないが、例えば s=2の場合に 書き下してみると

と、まあ、こんな感じになる。こちらを良く見ればすぐにわかるように、

  1. がすべて0ならば、から順に計算していくこと ができる。つまり、「陽的」公式になっている。

  2. が0のときは、各 についての式に だ けが入ってくる。これを半陰的 (semi-implicit) 公式という。この場合には、 まず についての方程式をといて、次に についてのを解いて、、、 と順番に計算出来る。

  3. 上のような制約が全くない時は、「陰的」公式ということになる。この ときは、すべての に対する(一般には非線形な)方程式を一度に解く 必要がある。

前の後退オイラー法の場合と同様、なぜ陰的公式といった面倒なものをつくる かというのはよくわからないかもしれない。これについてはあとで説明すると して、まず、陽的公式の例について述べる。



Jun Makino
Thu Aug 13 14:18:16 JST 1998