Next: 5.5 陽公式の到達可能次数
Up: 第5章 ルンゲ・クッタ法
Previous: 5.3 RK法の一般形
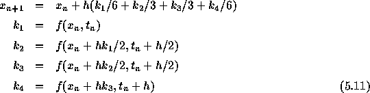
陽的ルンゲ・クッタ法のなかでもっとも広く使われているのが「古典的」といわれ
る公式である。書き下すと、

というものである。これは、いろいろ良い性質をもつ。例えば
-
が i-j=1 以外すべて0なので、右辺の計算が楽である。
- 次数が4次であり、4段陽的公式で到達可能な最高次数を達成している
- 係数が簡単な有理数なので、プログラムしやすい。また丸め誤差を小さ
くできる。
この公式が 4 次であることを示すのは、それほど簡単ではない。腕力に自信
があるひとは挑戦してみて欲しい。
Jun Makino
Thu Aug 13 14:18:16 JST 1998