next up previous contents
Next: 4 熱平衡分布 Up: 重力多体系の数値計算 Previous: 2 自己重力多体系とは?

3 2体緩和とはなにか?

まず、2体緩和とはいったいどういうものかというところから話を始め ることにする。原理的には、これがなにかというのは結構厄介な問題で ある。

有限粒子数の自己重力多体系を考えると、これは以下のような進化をす ると考えられる。まず、最初は力学平衡になかったとすると、とりあえ ず力学平衡に落ちつく。粒子数が無限大であれば、無限に細かく見れば 無限に時間がたっても真の力学平衡に到達するわけではないが、まあ、 漸近はしていく。この時、各粒子は与えられたポテンシャルの中を運動 するだけになり、それ以上進化することはなくなる。

さて、実際には有限粒子数であるので、そもそも真の力学平衡というも のはない。有限の質量をもった各粒子が系の中を運動するに従って、ポ テンシャルは必ず変化するからである。この変化によって各粒子の軌道 も変化することになる。

それでは、粒子の軌道の変化を、粒子数が有限であることから来る成分 とそれ以外に分離することは可能であろうか?系が力学平衡に あるとみなすことができればそれは可能である。つまり、力学平衡にあれ ば、粒子のエネルギー変化は定義によりすべて粒子数が有限であること によるからである。

が、良く考えると問題なのは、そもそも有限粒子数であるものを力学平衡とみ なすとはどういうことかということである。このあたりを考えていると段々混 乱してくるので、以下、理想化された状況から順番に考えていくことにしよう。 なお、この節の内容は、 L. Spitzer の Dynamical Evolution of Globular Clusters[Spi87] にほぼ沿っている。2体緩和に関しては、重力多 体系での議論とプラズマ物理での議論は全くパラレルなものであり、上記の本 の内容自体、同じ著者の Physics of Fully Ionized Gases[Spi56] のものとほとんど同じである。

3.1 一様等方な分布

  理想化といえば一様等方な分布を仮定することである。例えばマックス ウェル分布があって、その中の一つの粒子をとって考えるということを したいわけだが、これは結構厄介なのでさらに簡単な例を考える。すな わち、速度0で空間内に一様(ランダム)に分布した質点を考え、その中 を質量0のテスト粒子を飛ばして見る。

もちろん、この場合エネルギー交換はないので速度は変わらず、単に散 乱されるだけだが、しかし、この例は2体緩和のいくつかの重要な性質 を示すのですこし詳しく見ていくことにする。分布している質点の質量 を m、数密度を n とする。図1のように、テスト粒子が一つの粒子から距離(イン パクトパラメータ) b を速度 vで通った時に曲がる角度は、実際に ケプラー問題の解析解を使って

で与えられる。単位時間当たり、インパクトパラメータが の 範囲にある散乱の回数は である。

  
図 1: 2体散乱

さて、散乱の方向はランダムであると思われるので、平均としては(一 次の項は)0になる。しかし、 2次の項は0にならない。これは

 

で与えられることになる。

この式から既にいろいろな性質がわかる。が、その前に理論的な困難を 解決しておく必要があるであろう。すなわち、この積分は で発散しているのである。これについてはいく つかの考え方があった。例えば、初めて2体緩和の性質を理論的に調べ たチャンドラセカール[Cha43]は、以下のように考えた。

「平均粒子間距離よりもインパクトパラメータが大きいような散乱は、 多体の干渉によって効かなくなるのでそこで積分を打ち切ってよい」

しかし、多体の干渉というようなものが実際にあるかどうかはあきらか ではない。もっと素直な解釈は、実際に系にあるすべての粒子と常に同 時に相互作用しているのだから、システムサイズくらいまで全部いれる (系が構造を持つ場合はちょっとややこしいが、密度の空間依存も積分 のなかに入れて全空間で積分する)というものである。

数値実験の結果などから、後者の解釈すなわち全体が効くというほうが正しい ということはかなり昔から大体わかっていた。歴史的には、どちらの解釈が正 しいかについてはかなり最近まで論争があって、完全に決着がついたといえる のは 94-5年頃である。が、現在では後者の解釈が正しいということに疑いの 余地はない。

式(12) から、適当に近似すると

となる。ここで Rは先に述べたシステムの大きさ、 は「大きく 曲がる」ためのインパクトパラメータの値で、の程度である。

さて、これからどんなことがわかるかというわけだが、これから、逆に 角度変化が1の程度になる時間というのを求めてみると、

となる。ここで は上の を単に書き換えただけである。

今、 の質量依存性といったものを無視すると、散乱のタ イムスケールは速度の3乗、数密度の逆数、質量の2乗の逆数に比例する ということがわかったことになる。特に、質量密度一定の場合というも のを考えてみると、タイムスケールが各粒子の質量に比例するというこ とがわかる。

ある大きさを持った多体系というものを考えてみよう。質量M、ビリアル 半径 R、粒子数 N とすれば、ビリアル定 理から<、力学的なタイムスケール、つまり典型的な速度を持 つ粒子が系を横断するのにかかる時間が となる。これを使うと上の緩和のタイムスケールは

となる。つまり、力学的なタイムスケールに比べて、2体緩和のタイムスケー ルはほぼ N 倍長いということになる。このために粒子数が大きいほど無衝 突系に近付くわけである。

3.2 どういうことを考えるかということ:流体との違い

2体緩和によって、最終的には系が熱力学的に進化するわけであるが、これが 普通の流体(ガス)とは本質的に違うものであるということをここで再確認し ておこう。

ガスの場合、粒子の平均自由行程はシステムサイズよりもはるかに小さい。液 体であれば平均粒子間距離は粒子のサイズ程度であるし、気体であっても通常 の状況では考えている現象の空間スケールに比べて平均自由行程は小さい。ち なみに、非常に希薄な気体とか、あるいは本当に空間スケールの小さい現象で は平均自由行程が問題になる。これは例えば超高層での人工衛星の回りの気体 の流れとか、あるいは最近の磁気ヘッドの回りの空気の流れとかいったもので ある。

とにかく、通常のガスの場合、平均自由行程がシステムサイズより小さい。こ のために、シ ステムサイズよりは小さく平均自由行程よりは大きいような空間スケールを考 えると、そのなかでほぼ熱平衡になっていると思っていいことになる。いいか えれば、いわゆる Local thermal equilibrium (LTE) の仮定が使える。こう なると、温度とか圧力とかいった量が近似的(といっても実際上非常に高い近 似精度で)に定義でき、そういったマクロな量で系の進化を扱う、特に熱の流 れを拡散方程式で書くということが可能になる。

しかし、自己重力質点系では状況が全く異なる。まず、粒子数が無限大の極 限では、平均自由行程も無限大であった。つまり、 LTE が成り立たないどこ ろか、そもそも熱平衡に向かう(すなわちエントロピーを生成する)ようなメ カニズムがなかったわけである。

粒子数が有限の場合も、依然として平均自由行程が長い。つまり、粒子数無限 大の時の軌道から、他の粒子との相互作用によって段々ずれていくわけだが、 そのずれる典型的なタイムスケールは 程度であった。 つまり、流体の場合とは全く逆に、ほとんど衝突はしないで自由運動(他の粒子全 体が作るポテンシャルに沿った運動)をしていて、その場が有限の粒子で表現 されるための揺らぎがあるので段々軌道が変わっていくということになるわけ である。

従って、ローカルな熱平衡を仮定して拡散係数/輸送係数を求めるというのと は逆に、ある一つの粒子が系の中を動き回りながらどういうふうにエネルギー 等を変化させていくかという観点で見ていくことになる。

これをすこし別ないい方をすれば、通常の空間のなかでの密度や温度の変化を 考える代わりに、また6次元位相空間のなかでの分布関数の進化を考えるとい うことに当たる。具体的には、これまで無視してきた「衝突項」というものを ちゃんと評価して、どういうものかみてやろうということである。

3.3 バックグラウンドの分布のもとでの有限質量のテスト粒子の振舞い

さて、以下ではバックグラウンドの粒子分布のもとでの一つのテスト粒子の振 舞いを考える。3.1節と違うのは、バックグラウンドも動いていることと、テス ト粒子も有限の質量を持つことである。バックグラウンドの粒子は一様に分布 するものとし、ある速度分布に従うとする。さらに、バックグラウンドの粒子 間の相互作用とかは考えないことにする。これで本当にいいかどうかはちょっ と良くわからない問題であるが、まあ、とりあえずやってみることにしよう。

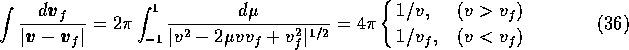
前と同じく、分布している質点の質量 を m、数密度を n とする。テスト粒子が一つの粒子から距離(イン パクトパラメータ) p を相対速度 で通った時に曲がる角度は、実際に ケプラー問題の解析解を使って

で与えられる。ここで、この曲がる角度は相対軌道のものであって、テスト粒 子の軌道のものではないということに注意する必要がある。いきなり回りが動 いていてしかもテスト粒子が質量をもつというのは面倒になるので、とりあえ ずテスト粒子は質量を持つが、回りは止まっている場合を考える。この時、一 回の散乱での速度変化は以下の式に従う。

前の話との違いは、速度変化に係数 がついていることだけ である。 これにまた単位時間当たりの衝突回数 を掛けて積分するが、 については前と同様1次の項は落ちる。それ以外につい ても前と同様に計算出来て

ここで

である。ただし、 leading term でない項は適当に落ちてたりするので注意。

上の式で、の項は前に扱った角度の曲がる項と同じも のである。前の話と違うのは、ネットに速度が小さくなる成分がある、すな わちが負で有限の値をもつということである。

これは、 dynamical friction というものである。つまり、回りが止まっ ているなかを粒子が走っていくと、それが回りを引っ張って動かすので、 その分エネルギーを失って段々速度が落ちるわけである。これは、 m が大きい( が小さい)極限では 、つまり質量密度によっ ていて、バックグラウンドの粒子の質量に依存しないことに注意してほ しい。これに対し、他の項はに比例していて、質量密度が同 じでも粒子の質量が大きいほうが値が大きくなる。

さて、ここではとりあえず1次と2次の項を求めたわけだが、それより先の項に ついては考えなくてもいいのだろうか?ここでは粒子の軌道変化がたくさんの 散乱のランダムな重ね合わせで書けるとした。この仮定が正しければ、たくさ ん散乱を受けた後の速度の分布は1次と2次のモーメントで決まるガウス分布に なり、従って3次より高いモーメントの寄与は考えなくてもいいことになる。

問題はこの仮定が正しいかどうかであるが、実は理論的にはそれほど厳 密に正しいわけではない。というのは、インパクトパラメータが例え ば の程度の散乱というのも現実におき、その効果はそれ以外の散 乱すべての寄与に比べてせいぜい 程度でしか小さくな いからである。まあ、しかし、そんなことをいっていても高次の項があっ ては計算出来ないし、とりあえず 程度で小さいというこ とも確かなので、以下高次のモーメントは考えない。

3.4 バックグラウンドが速度分布を持つ場合

いよいよバックグラウンドが動いている場合ということになる。 この時でも、相対速度の変化自体は前節に述べたもので正しいが、相対速度に フィールド粒子の速度成分が入ってくるところが違う。

以下、二種類の単位ベクトル系をとって、その上で考える。一つはであり、元の空間に固定されている。もう一つはであり、最初の成分を相対速度 に平行にとる。従って、 後者は相手の粒子によって違うわけである。この2つを考えることで、相対速 度の変化をもとの静止系でのテスト粒子の変化に焼き直す。

まず、1次の項は相対速度に平行な成分だけであった。このことから、ある方 向の速度変化は

ということになる。もうすこし精密に書くと、右辺はインパクトパラメータと 相手の速度の積分なので、以下のように書けることになる。

ここで、 はフィールド粒子の速度、 fは速度分布 関数である。 pについての積分を先にやったことに注意して欲しい。この積 分は であった時の結果をそのまま使っている。

さて、2次の項についてであるが、前節で見たように に平行な成分は小 さいので、垂直な成分、す なわち の成分を考えればいい。従って、一つの方向から くるフィールド粒子との散乱を考えた時には

 

となる。最後の は角括弧の中をそう書いただけである。 (27)式にまた分布関数を掛けて積分すると、結局

ということになる。これで一応必要な2次までの係数はすべて書けたわけだが、 あまり計算するのに使い易い形ではない。というのは、 とか V と かいったものがまだややこしい形ではいったままであるからである。しかし、 もうちょっと簡単な形に書き直せることが知られている。まず、1次の項だが、

という都合のよい関係がある。 をそもそも に平行にとったから上のように出来るわけである。 このため、

なる関数 を導入して、

ということになる。

2次の項についても同様な整理が可能である。, によって張られる平面への写像の内積なので、と の内積の分をつけてやれば元の単位ベクトル同士の内積になる。つまり、

したがって、

というわけで、

とおけば、

3.5 バックグラウンド速度分布が熱平衡の場合

前節では、バックグラウンドの速度分布が任意のものについて、実際に計算可 能な式を導いた。ここでは、速度分布が等方的な場合につ いて式をさらに単純化してみる。

速度分布が等方的な場合、hgの積分を、 の絶対値方向と角度方 向に分けることができる。角度方向の積分については、 の なす角度を とし、 とすれば、球面上での積分 が、まずhについては

となる。これは、球面上に分布する電荷の作るポテンシャルと同じ式である。 gについても同様に計算できて

となる。これから、

というものを考えると、

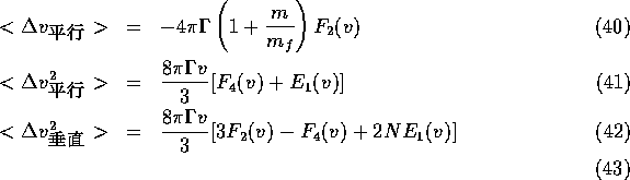
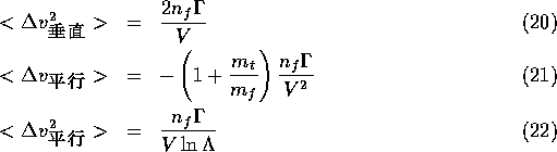
これらから、最終的な結果、すなわち、バックグラウンドが動いている時の、 速度に平行な速度変化と垂直なそれを書き下せることになる。それらは、結局、

これらから、粒子のエネルギーの変化 を出すことができる。

と書けるので、1次の項は

となる。2次の項については、 以外の項は小さいので 無視すると

となる。

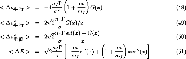
さて、速度分布を熱平衡、すなわち

とすると、上の係数等を具体的に計算できることになって、その形は

ここで は誤差関数であり、

また である。

山ほど式はでてきたものの、だからなんなんだという気もする。以下、上の式 の意味についてちょっと考えてみる。

まず、速度の1次の項を見てみる。これは、速度分布にはだけ を通して依存しているということに注目して欲しい。例えば、マックスウェル 分布のようなものを考えた時、 vが大きい極限では となるので、回りが止まっているときと同じく速度変化は速度の2乗に 反比例する。これに対して、vが小さい極限では、fを一定と見なすことが 出来るので となる。

これは、タイムスケールを考えてみると、速度が大きい極限では減速のタイム スケールが であるのに対し、逆の極限では 一定になるということであ る。すなわち、非常に速度が大きい粒子が出来てしまうとこれはなかなか減速 しない。もちろん、自己重力系の場合には、そのようなものは系のなかに留ま るのは困難である。このような粒子(超熱的粒子)が問題になるのはプラズマ の場合である。

速度が小さいほうではタイムスケールがある一定値、つまりは で決まる値あたりになる。

この1次の項は、前に述べたように dynamical friction を表している。これ が問題になる場面は、例えば恒星系が質量の違う2つの成分から出来ているよ うな場合である。力学平衡状態で、分布関数に質量依存がないようなものを考える と、これは熱平衡から遠く離れている。従って、上の式で決まるタイムスケー ルで重いものがエネルギーを失い、軽いものがエネルギーを得る。これは、エ ネルギー等分配に向かう普通の熱力学的な進化である。

が、自己重力系ではこのエネルギー交換の結果熱平衡に近付くとは限らな い。つまり、重いものがエネルギーを失い、 軽いものがエネルギーを得るということは、それぞれの分布関数が変わり、空 間分布も変わるということである。具体的には、重いものは中心に集中した分 布になり、軽いものは外側に押し出される。その結果それぞれの成分の速度分 散がどうなるかの細かいところは初期条件に依存するが、普通は物が中心に集まれ ば重力も強くなり、力学平衡では結局速度分散も大きくなる。このために、熱 平衡からはかえって遠くなってしまう。

さて、次に、2次の項を見てみる。速度に平行な成分も垂直な成分も、 vが 大きい極限では0にいく。特に、 垂直な成分はv に反比例する。これに対し、 速度が0の極限では、どちらも一定値に収束する。これはテスト粒子が停止 している極限でも、回りの粒子によって揺さぶられるということを表している わけである。

3.6 2体緩和のタイムスケール

前節では、実際にバックグラウンドの粒子も動いている場合について、2体緩和 によって粒子の速度、エネルギーがどう変化するかの期待値(のモーメント) を求めた。ここでは、前回の結果を使って、まずいくつかの重要な場合について 2体緩和がどのように働くかを議論する。

「タイムスケール」というのは、普通ある量 x の時間変化が

なる形で書ける時の T のことである。もちろん、一般にはTxを含む いろんなものの関数である。

そういった意味で考えやすいのは、温度(平均運動エネルギ)が違う2つの空間一様な 分布が重なりあっている時に、どのようにして2つが近付いていくかというの ものである。これは、もちろん時間が立てば熱平衡に近付くわけである。以下、 実際に計算してみる。

3.7 等分配のタイムスケール:理論

今、フィールドに質量 の粒子が一様に分布しており、テスト粒子として質量 のものがこれもまた一様に分布しているとする。さらに、どちらも速度 分布はマックスウェルで与えられるとする。ここでは等分配を考えるので、そ れぞれの粒子1個当たりのエネルギーを , と書く。今、テスト粒 子のエネルギー変化の平均を考えると、

と書けることになる。これに前回求めた を入れて実際に積分を 実行することができて、結果は

となる。

ここで、いくつかの極限的な場合を考えておくことは有益であろう。まず、 という状況を考えてみる。これはつまり非常 に重いものと軽いものが、同じような空間分布、速度分布で広がっている場合 である。この時は上の式で なので、

となる。なお、この時、変化率はテスト粒子の速度に分母の を通し てしか依存しないので、 の極限でエネルギー変化(減 速)のタイムスケールは一定値にいき、それは の時の値とそ れほど違わない。

次に、という状況を考えてみる。この時は上 の式を

となる。 ここで

を使った。 さらに、 などを使って書き直せば

を得る。つまり、速度が小さい極限では、一定の率でエネルギーをもらうわけ である。言いかえれば、温度が2倍になるタイムスケールというものは、温度 に比例して小さくなるともいえる。

さて、通常「2体緩和のタイムスケール」という時には何を指してい るかというと、この等分配のタイムスケールのことではないのが普通である。 が、時と場合によっていろんなものが出てくるが、まあ同じようなものである。 普通に使われるのは、

 

とするものである。 ここで はr.m.s. 速度である。になにか意味があるわけではなく、 こう定義したというだけである。

これは、ローカルな量で定義されていて、例えば系全体の緩和時間といったも のを考えるのにはちょっと不便なこともある。というわけで、いわゆる half-mass relaxation time というものを導入しておく。これは、 半径 の中に質量の 1/2があるとして、その中の密度は一様であるとし、 さらにビリアル定理から出てくるといった関係 を使って出すことが出来る。ここでビリアル半径ではなく half-mass radius を使ったのは慣習に従っただけで深い意味はない。この2つは通常 30% 程度 の範囲で一致する。 これは

となる。

ここで注意しないといけないことは、 はあくまでも球対称に近 い系の half mass radius のあたりでの緩和時間であるに過ぎないとい うことである。従って、球状星団全体の緩和時間とか、あるいは楕円銀 河、銀河団といったものには有効な概念であるが、球対称から大きくず れた銀河とか、あるいは half mass radiusのずっと外側やずっと内側で は全く違ったものになっていることに注意する必要がある。さらに、速 度分布が非等方であるとか、回転がメインであるとかでもまた話が全く 変わってくる。このような場合、ローカルな緩和時間、あるいはエネル ギー変化自体の式に戻って考えないと、タイムスケールについて全く間 違った推定をしてしまうことになる。



Jun Makino
Sat Feb 24 22:13:53 JST 2001