next up previous
Next: 4 Summary and Discussion Up: Thermal Relaxation in Previous: 2 The Model

3 Results

3.1 Approach to the thermal equilibrium

Figure 1 shows the time-averaged energy distribution function , for different time periods and number of sheets. In all figures, the thin solid curve is the energy distribution of the isothermal distribution function of equation (3). What we see is quite clear. As we make the time interval longer, the time-averaged distribution function approaches to the isothermal distribution. Thus, the numerical result suggests the system is ergodic. However, it also shows that the time needed to populate the high-energy region is very long. The sampling time interval is 128 time units for N=16, and 512 time units for N=64 and 128. Thus, in the case of and N=16 (dash-dotted curve in figure 1a), total number of sample points is .

  
Figure 1: The time-averaged distribution function in the energy space ; (a) N=16, (b) N=64, (c) N=128.

If we can assume that the sample points are uncorrelated, the possibility that no sample exceeds energy level is given simply by

where

and n is the number of sample points. Figure 2 shows as a function of . For , , and therefore the probability that none of 32768 samples does not exceed is practically zero (). In other words, the numerical result seems to suggest that the system is not in the thermally relaxed state even after crossing times.

  
Figure 2: The compliment of the cumulative distribution function for the thermal equilibrium.

Of course, this result is not surprising if the relaxation time is long. Samples taken with the time interval shorter than the relaxation time have a strong correlation, and therefore the effective number of freedom can be smaller than n. Roughly speaking, if the relaxation time is longer than , our numerical result is consistent with the assumption that the system is in the thermal equilibrium. In the next subsection, we investigate the relaxation time itself.

3.2 Relaxation timescale

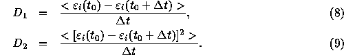
We measured the following quantities:

These quantities correspond to the coefficients of the first and second-order terms in the Fokker-Planck equation for the distribution function, and have been used as the measure of the relaxation in many studies (see, e.g., Hernquist and Barnes,[1] Hernquist et al. [2]), for three-dimensional systems. However, to our knowledge this measure has not been used for the study of the sheet model.

In order to see the dependence of these diffusion coefficients on the energy, we calculated them for intervals of . Figure 3 shows the results, for N=16, 64 and 256. The time interval was taken equal to . We used smaller values for and confirmed that the choice of has negligible effect if is larger than and smaller than . Time average is taken over the whole simulation period. We can see that both the first- and second-order terms show very strong dependence on the energy of the sheets, and of the order of for . Figure 3 suggests that the relaxation timescale grows exponentially as energy grows. This behavior is independent of the value of N.

  
Figure 3: The diffusion coefficients (a) and (b) plotted against the energy e for three values of N. Long-dashed, solid, and short-dashed curves are the results for N=16, 64 and 256, respectively.

We can define the relaxation timescale as

that is, the timescale in which energy changes significantly. Figure 4 shows this relaxation timescale for different values of N and . The relaxation time shows very strong dependence on the energy and the relaxation of high-energy sheets is much slower than that of sheets in lower energies. This is partly because of the dependence of on itself. However, as w can see in figure 3, the dependence of the diffusion coefficient is the main reason.

  
Figure 4: The relaxation time in unit of plotted against the energy e for three values of N. Curves have the same meanings as in figure 3

This result resolves the apparent contradiction between the fact that the relaxation timescale is of the order of [5] and that the system reaches the true thermal equilibrium only in much longer timescale.[12] It is true that the relaxation timescale is , but the coefficient before N is quite large, in particular for sheets with high energies.

An important question is why the relaxation timescale depends so strongly on the energy. This is provably due to the fact that high-energy sheets have the orbital period significantly longer than the crossing time. Typical sheets have the period comparable to the crossing time, and therefore they are in strong resonance with each other. However, a high-energy sheet has the period longer than the crossing time, and thus it is out of resonance with the rest of the system. Therefore, the coupling between high energy sheets and the rest of the system is much weaker than the coupling between sheets with average energy. This explains why the relaxation of high energy sheets is slow.



next up previous
Next: 4 Summary and Discussion Up: Thermal Relaxation in Previous: 2 The Model



Jun Makino
Tue Mar 16 18:39:24 JST 1999