next up previous contents
Next: 第3章 非等方モデル、ビリアル定理 Up: 理論天体物理学特論I Previous: 第1章 力学平衡

第2章 等温モデル、キングモデル、 βモデル

前回は、球対称な力学平衡モデルの例として、 Plummer model, Hernquist model とそのバリエーション、等温モデルについて簡単に説明した。今日は、 物理的に重要である等温モデルの性質と、等温モデルの重要なバリ エーションについて説明する。まず、流体の等温分布との関係を扱い、それか ら有限質量になるように分布関数に変更を加えた King model を扱う。

そのあと、2成分系のなかでもっとも簡単な、等温モデルで表 現される恒星系のなかに、それに比べて質量が小さい等温ガスがトラップされてい るという場合を考えてみる。これは、銀河団のガスの非常によいモデルである とされ、現在も解析の基本的な仮定となっている。実際にどのような扱い をしているか、その問題点についても触れることにしたい。

2.1 等温モデル

2.1.1 流体との関係

等温モデルは、エントロピーの一次の変分が0であり、分布関数がボルツマン分布になって いるという特別な性質がある。このため、等温ガス球と実は同じ構造をとる。 以下、ガス球について方程式を導いておく。 静水圧平衡の式は

である。状態方程式に等温の

を使ってPを消して、さらに を微分してみれば、

要するに、 stellar system とガスで同じ方程式になっている。

この時、実際に「分布関数も同じ」ということに注意してほしい。つまり、速 度分布、したがって速度分散も同じになっているわけである。

なお、ポリトロープでも、ポリトロピックな状態方程式を持つガス球の密度分 布と stellar system のそれとは一致する。が、等温モデルの場合とは実は本 質的な違いがある。等温モデルの場合は、分布関数そのものが一致する(ボル ツマン分布であり、局所的にも大局的にもエントロピー最大)が、一般のポリ トロープではそんなことはない(そもそもガス球ではジーンズの定理が成り立 たないし、局所的にはボルツマン分布であるから)。

2.2 King Model

等温モデルは、すでに述べたように熱平衡(エントロピーの変分が 0 )とい う重要な意味を持つ定常解ではあるが、なにしろ質量が無限大であり現実に存 在しないのでちょっと困るところがある。なにか適当な仮定を置くことで、 「おおむね等温モデルであり、なおかつ有限の大きさをもつ」というものを考 えることはできないだろうか?

上の分布関数で、質量が発散する理由は何かを思い出してみよう。その本質的 な理由は、分布関数がエネルギー無限大 ()ま で0にならないことにある。

有限の質量のものが自己重力でまとまっているためには、すべての粒子のエネ ルギーが負でないといけないので、これでは自己重力系が表現出来ないのはあ る意味では当然のことといえる。

それならば、ある有限のエネルギー以上のものはないことにしてしまえばいい。 そのやり方にはいろいろあり得るが、とりあえず Lowered Maxwellian と呼ば れる以下のようなものを考える

これはf=0 となるように、 1 を引いたというだけである。 これしか方法がないというわけではないが、これは扱いやすいこともあってもっ ともよく使われている。

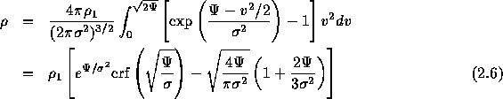
例によって、まず速度空間で積分すれば

ここで は誤差関数で、積分が有限区間であるために出てくる。最後の項 は1引いている分の寄与である。ちなみに

これでポテンシャルの関数として密度が求まったので、あとはポアソン方程式 に入れて数値的に解くだけである。ただし、 King model の場合境界条件につ いてすこしきちんと考える必要がある。

半径方向の分布は、中心から無限遠まで与えられるわけであるが、実は外側の 境界をどうとるべきかはちょっと自明ではないので、とりあえず中心から初期 値問題として解くことを考える。

初期条件としては、まず とする、すなわち、中心密度が有限 の解を考える。 は任意に選べるので、これの値によっていろいろな 解がでてくる。

これは実際に数値的に解いてみたものの例である。速く落ちるものから、 が 1, 3, 6, 9, 12 と変えてみてある。

なお、横軸のスケールの は、

として無次元化するのに使っている。これは、いわゆる「コア半径」というの とそこそこ一致するということになっている。通常、キングモデルのコア半径 というときにはこれをさす。観測的には、中心の表面輝度の 1/2 になるとこ ろとするのが普通である。

グラフからわかるように、有限の半径 は 0 になる。これは、 解いていったときに が 0 になってしまうためである。この半径のこ とを King model の tidal radius 潮汐半径という。このモデルのばあい、 と本当のポテンシャル の間に以下のような簡単な関係が成り立 つことに注意。

ここで Mは系の全質量である。

King Model は、球状星団のプロファイルのモデルとして非常によく使われて いる。なお、 のことを concentration parameter といっ て、観測データにキングモデルを合わせた論文では普通これがパラメータにな る。理論計算では が使われるので、ちょっとややこしいことが多い。

2.3 多成分系の例

さて、今まで、単に無衝突ボルツマン方程式の球対称定常解というものの例を いろいろ見てきたわけだが、ちょっと飽きてきたので目先を変えてみよう。具 体的には、「球対称の恒星系のなかでのガスの分布」というものを考えてみる ことにする。というのは、現在観測データの解釈に使われているモデルは、現 在までにやった範囲で十分カバーできるものになっているからである。

多くの銀河団には高温ガスが存在しており、X線で観測可能である。

上は Einstein IPC による Hydra A 銀河団に(David et al. ApJ 1990, 356, 32) の像である。あと、 ROSAT の観測とか「あすか」のとか見たことがあ る人も多いと思うが、まあだいたいこんな感じにきれいに丸いのが普通である。 X 線ガスの振舞いについての詳しい話は Sarazin の教科書かなにかを見ても らうとして、とりあえず重要なのは、

ということである。この2つの仮定をつかっていろいろしらべていくことにし よう。

まず、話を簡単にするために、

ということにする。これは、銀河団なんかだとちょっと怪しいが、まあ全然だ めというほど悪くはない。さらに、 とする。だんだん、ほんとかなあという気がしてくることと思うが、まあ、研 究の現場というのはそういうものです。

さて、これぐらいたくさん仮定すると、美しい理論を構築できることになる。 まず、ガスの速度分散と恒星系の速度分散が等しい場合というのを考えてみる。 ガスの密度が従う方程式は、星の密度を として

 

と書けるわけだが、 自体がこの方程式の解になっている。すると、 これは の対数についての微分方程式なので、

というのが解になっている。中心で微分が 0 とすれば他の解はない。つまり、 どこでもガスと星の密度比が等しいというのが平衡状態になる。この時は、も ちろん、ガスの自己重力を考慮しても平衡状態の分布の形は変わらな い。

では、温度(速度分散)が違う場合はどうなるかが問題である。ガスの温度 と、恒星系に対応する「温度」 の比を と置 くと、 ガスの密度が従う方程式は、

と書けるわけだが、この解というのはもちろん(!)

 

で与えられる。すなわち、対数でグラフに書いて縦に 倍したものが、 解の形を表しているわけである。一般に、温度が高ければ等温解に比べて傾き が緩くなり、低ければより急になるわけである。

2.3.1 βモデル

と、ここまではちゃんと正しい話をしてきたが、実際に観測結果の解釈に使う 時にはさらに大胆な近似がなされる。以下、 Sarazin の X-ray emissions from clusters of galaxies 5.5節に従っていわゆるモデルについて説 明し、その問題点について検討する。

式(2.13)はもちろん正しいし、有用なものではあるが、あま り使い回しがよくない。というのは、のほうがそもそも数値的にしか 求まっていないからである。というわけで、をなにか解析関数で置き 換えることを考える。さて、以下の質量分布

を考えてみると、これは 程度ならば等温解の非常によい近似になっ ている。(遠くにいくとどんどんずれるが)これを恒星系の分布と思えば、ガ スの分布は

と解析関数で書けることになって都合がよろしい。さらに、 X 線で観測する ということを考えると、実際に観測されるのは X 線の強度で、これは密度の2 乗を視線方向で積分したものと思っていい。つまり

となるわけだが、これは積分できて、

となる。定数はいろいろ出てくるけど省略。

左はうまくいく例である (Jones and Forman 1984)。右は先ほど見せた Hydra A

これらはそれなりに典型的なものだが、もう一例最近の論文(Ikebe et al. 1997, ApJ 481, 660)をあげておくと

とまあ、こんな感じになる。

いくつかの観測結果をこのように モデルでフィットした結果から、以 下のような問題があるということになっている。

これが問題であるかどうかについては、例えば以下のようなことも考慮する必 要があろう。

と、いうわけで、レポート用課題(1)

(1-1)正しい等温分布に対して、X線ガスの表面輝度がどうなるかを求め よ。のいくつかの値についてやってみること。

(1-2)上で求めたガスの表面輝度を Jones & Forman (ApJ 1984, 276, 38)での Einstein の観測結果と比べて、大雑把(目でみて)でよいから の値を求め、Jones & Formanの値と比較せよ。

(1-3)恒星系の分布が等温ではない時の等温ガスの密度をポテンシャル の関数としてあらわせ。

(1-4)Hernquist model の場合に、X線ガスの表面輝度はどのようにな るか求めよ。なお、半径無限大で発散する場合は、適当な半径で分布を打ち切っ てよい。



Jun Makino
Mon Jun 1 23:17:40 JST 1998