next up previous contents
Next: 第4章 ビリアル定理の応用、ジーンズ不安定 Up: 理論天体物理学特論I Previous: 第2章 等温モデル、キングモデル、 モデル

第3章 非等方モデル、ビリアル定理

前回は、等温モデルの変形で、有限質量としたキングモデルと、それ から多成分系の例として球対称等温な恒星系の中での等温ガスの分布を扱った。 今日は、非等方モデルの簡単な例をあげ、それからモデルを離れて恒星系の平 衡状態の一般的な性質について考える。

3.1 非等方モデル

非等方ということは、分布関数が の形で書けるということである。 まず、密度 がどう書けるかを考えてみよう。一般の分布関数で、密度 は単に fを速度空間全体で積分したもの

である。速度を極座標を使って

とすれば、角運動量の定義から

となる。

3.1.1 Osipkov-Merritt モデル

一般に fLに依存するしかたというのは無限にあるわけだが、以下、 そのなかで割と扱いやすいものとして、分布関数が

の関数として書ける場合というのを考えてみるこれは Osipkov-Merritt モデ ルと呼ばれるものである。この時、上の密度の速度空間における積分を Qで かきかえると

となる。( なら とした)ここで、とても素晴らしいことに

となるので、上の積分は

 

という具合になって、これは実はの時の式

 

と非常に良く似た形になり、fを与えればを求めることができる。

3.1.2 から f へ(等方)

非等方分布などを実際に、例えば観測データの説明として使うためには、与え られた密度に対して、それを実現するような分布関数を作るという作業が必要 になる。これを、まず の場合についてやってみて、Osipkov-Merritt モデルの場合にも応用してみる。

3.8 で、密度が至るところ正ならば rの単調な 関数なので、 の関数と思って、両辺を で微分すれば

これは Abel の積分方程式になっていて、以下の解を持つ

ちょっと書き替えれば

 

例として、Jaffe model

を考えてみる。 Hernquist model でも同様に出来るけど、こっちの方が式が 簡単なので。まず、 rで表してそれを の式に入れると、

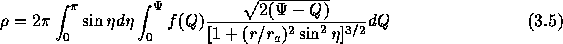
これを式3.11に入れればいいわけだが、 (ただし、)を積分変数にすれば、

但し、

3.1.3 から f へ(Osipkov-Merritt)

さて、ちょっと疲れて来たかも知れないが、式3.7と式 3.8が左辺に がつく以外は同じ形をしてい たということを思い出して欲しい。式3.11は式 3.8の解であったわけなので、今

と置いてやれば式3.11と全く同じ形、つまり

 

の解があることになる。例えば Jaffe model であれば、前節と同様にして分 布関数を今度は Qの関数として求めることができる。

最後に、Osipkov-Merritt モデルの性質について少し考えてみる。分布関数が によるという ことは、の等高線が放物線になっているということである。中心近く では、どうぜ L の取り得る値の範囲が狭いので、実は等方的な場合とあま り変わらない。これに対し、外側の E=0に近いところでは、等方の場合から 大きくずれる。

ずれ方は、通常の fEの減少関数なので、 についてもそうなり、 外側にいくほどcircular に近い軌道が減り、radial に近い軌道を持つ粒子が 相対的に増えることになる。

このような傾向は、例えば楕円銀河などの形成過程についてのいろいろなシナ リオで自然に起きること(そのうちに扱う)であり、理論的に調べられている 非等方モデルは大抵上のような角運動量でカットオフを持つようなモデルになっ ている。

なお、非等方性の重要な観測的応用として、楕円銀河の中心部の構造のモデル があるが、これについては後で時間があれば触れることにしたい。

3.2 Jeans Equations

ここまでは、 Collisionless Boltzman 方程式から出発して、 Jeans の定理 を使って球対称な恒星系のモデルをいろいろ見てきた。これから2回程度、 Collisionless Boltzman 方程式のいろいろな平均(モーメント)をとること によって恒星系の性質を見ていくことにする。

 

Collisionless Boltzman 方程式は式5.1で与えら れるが、これをまず速度空間全体で積分してみる。と、まず第3項は発散定理 によって表面積分に置き換えられ、の極限で fは 十分速く0にいくので(普通は有限の|v|で0になってないと、自己重力的 にならない)、結局 0 になる。最初の2項は

と置いてやれば(密度と、局所的な平均速度)

これは、流体の場合の連続の式と同じものである。さらに、速度の1次のモー メントをとるためにCollisionless Boltzman に を掛けて積分してみる と、

というような式が出てくる。但し、 i についての和をとっていることに注意。

さて、について発散定理(1次元)を使えば

となるので、結局

 

但し、 の局所平均である。もうちょっと見 通しの立つ式にするために、まず連続の式を使って第一項から を消すと

さらに、

を使って書き直すと

これは、流体の場合のオイラー方程式(運動方程式)と大体同じ格好になって いる。左辺は平均の流れに沿ってみた平均速度の Lagrange 微分であり、右辺 第一項はポテンシャルから力である。

最後の項は普通なら圧力の項が出てくる。流体と違うのは、ここが非等方的な stress tensor になっているということである。

なお、いうまでもないが、速度分布が等方的であれば stress tensor は Iは単位行列)の形に書ける。さらに、等方的でない場合に は、は対称テンソルなので適当な座標系の回転により 対角化出来る。例えば で書ける時には、一つの軸を原点に向けてと れば対角化されるわけである。

3.2.1 例:球対称恒星系の

密度分布が球対称で平均の流れがない場合、極座標系での Jeans equation は以下の形に書き直せる:

(証明は、、、まあ、面倒なだけなので省略) もうちょっと話を簡単にするために、等方的な場合を考えると、結局

すなわち

つまり、密度と速度分散の半径方向の分布がわかれば、質量分布が決まるとい うことになる。

ここで注意してほしいのは、 は質量を反映していないもの、例えば星の 数とか、あるいは単位体積あたりの luminosity の分布でも構わないというこ とである。これは、もともとの Collisionless Boltzman 方程式は保存する量 であればなんでもなり立つからである。さらに、球対称、等方を仮定したので、表面 輝度分布や視線方向速度分布から輝度密度と速度分散の空間分布を求められる ので、これらから「実際にどれだけの質量があるはずか」を求められるわけで ある。これから、 の空間分布が決まることになる。楕円銀河の中心に大 質量ブラックホールがあるというような話は、もっとも簡単にはこのようにし て質量を推定する。

なお、逆に、を一定として、速度の非等方性の空間分布を求めることも できる。多くの、中心に大質量ブラックホールがあるとされている楕円銀河で、 非常に非等方性の高い速度分布を作れば観測された密度と速度分散の分布が説 明できないわけではないということが示されている。

3.3 ビリアル定理

前節では、Collisionless Boltzman 方程式の速度空間でのモーメントを考え て Jeans 方程式を導いた。ここではさらに空間全体のモーメントをとる。

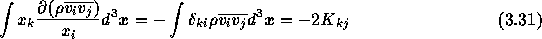
3.23において、密度 を質量密度 で置 き換え、さらに を掛けて空間全体で積分する。

右辺の最初の項は、例によって発散定理を使って書き直せる。

これは、運動エネルギテンソル の定義を与える。ついでに第 二項はポテンシャルエネルギーテンソル と呼ばれるものであ る。

さらに、 の定義を使って、

但し

さらに、 j,k についての式と k,jについての式を足してやると

さらに、慣性モーメントテンソル

を導入して、連続の式とか発散定理とかを使うと

で、結局

これをテンサービリアル定理という。

さて、今定常状態 (Iの時間微分が0)を考え、さらに上の式のトレースを とってみると、T, の定義からこれらの寄与は全運動エネルギーKの 2倍になる。Wの方は、の定義を使えば

ここで を入れ換えた積分を書き、両方を足すと

というわけで、 Wは系の全ポテンシャルエネルギーである。結局、

が成り立つ。これを、スカラービリアル定理、または単にビリアル定理という。

今、系の全エネルギーを Eとすれば、 E=K+Wであるから、

ということになる。つまり、定常状態にある自己重力恒星系では、必ず全エネルギーは ポテンシャルエネルギーのちょうど半分であり、絶対値が運動エネルギーに等 しい。これは球対称とかそういう仮定なしに常に正しい。



Jun Makino
Mon Jun 1 23:17:40 JST 1998